Korrelation ist ein statistisches Maß, das das Ausmaß ausdrückt, in dem zwei Variablen linear miteinander verbunden sind (d. h. sie ändern sich gemeinsam mit einer konstanten Rate). Es ist ein gängiges Werkzeug zur Beschreibung einfacher Beziehungen, ohne eine Aussage über Ursache und Wirkung zu treffen. Einfach ausgedrückt gelten die Variablen X und Y als positiv korreliert, wenn hohe Werte von X mit hohen Werten von Y einhergehen und niedrige Werte von X mit niedrigen Werten von Y einhergehen. Falls hohe Werte von X mit niedrigen Werten von Y einhergehen und umgekehrt, sind die Variablen negativ korreliert.
Zum Herunterladen klicken Video
Der Pearson-Korrelationskoeffizient (r) erfasst die Stärke und Richtung einer linearen Beziehung zwischen zwei Variablen. Stellen Sie sich eine gerade Linie vor: Eine Korrelation von 1 bedeutet, dass die Datenpunkte auf dieser Linie genau zusammen zunehmen oder abnehmen. Umgekehrt weist -1 auf einen genau entgegengesetzten Trend hin. Ein Wert von 0 bedeutet, dass es keine lineare Verbindung zwischen den Variablen gibt. Im Wesentlichen sagt es Ihnen, wie eng sich zwei Dinge in einer geraden Linie ändern.
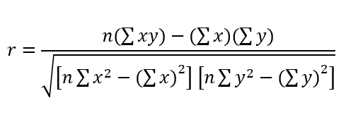
Die folgende Formel wird verwendet, um den Pearson-Korrelationskoeffizienten (r) zu berechnen:
Wobei x und y Variablen sind und
Gehen Sie zu: My Surveys » Select Survey » Analytics
Klicken Sie unter dem Dropdown-Menü Analysis auf Correlation Analysis.
Der Abschnitt „Threshold“ hilft dem Benutzer mit der Farbcodierung der Zellen, die die Stärke der Beziehung zwischen den Variablen angibt. Bei direkter Korrelation ist der Schwellenwert standardmäßig auf 0,65 eingestellt und hat 3 Farben. Wenn der Wert des Korrelationskoeffizienten unter 0,80 bis 0,65 (festgelegter Schwellenwert) liegt, wird die Zelle hellgrün eingefärbt, was auf eine geringe Stärke der Beziehung hinweist. Wenn der Wert zwischen 0,80 und 0,90 liegt, wird die Zelle mittelgrün eingefärbt, und wenn der Wert über 0,90 liegt, wird die Zelle dunkelgrün eingefärbt, was auf eine hohe Korrelationsstärke zwischen 2 Variablen hinweist.
Im obigen Beispiel haben wir herausgefunden, dass die Beziehung zwischen Alter und höchster Qualifikation, höchster Qualifikation und Haushaltseinkommen, Alter und Haushaltseinkommen positiv ist und entsprechend der Stärke der Beziehung farbcodiert wird.
Dies bedeutet, dass eine sehr starke Verbindung zwischen den Variablen besteht. Jede Erhöhung einer Variable führt zu einer Erhöhung der anderen. Wenn der Benutzer die inverse Korrelation aktiviert, werden Zellen mit inverser Beziehung hervorgehoben. Wir haben ähnliche Buckets in inverser Korrelation. Wenn der Wert des Korrelationskoeffizienten unter -0,80 bis -0,65 (festgelegter Schwellenwert) liegt, wird die Zelle hellrot eingefärbt, was auf eine geringe Beziehungsstärke hinweist. Wenn der Wert zwischen -0,80 und -0,90 liegt, wird die Zelle mittelrot eingefärbt, und wenn der Wert über -0,90 liegt, wird die Zelle dunkelrot eingefärbt, was auf eine hohe Korrelation zwischen 2 Variablen hinweist.
Im obigen Beispiel stellen wir fest, dass die Beziehung zwischen Alter und Geschlecht, Geschlecht und höchster Qualifikation negativ ist und entsprechend der Stärke der Beziehung farbcodiert ist.
Alle Multiple-Choice-Fragen werden für die Korrelationsanalyse unterstützt.